Publications

Journals

  • 265. Fixed Bed Drying of Sugarcane Bagasse Using Solar Energy

    H Lee, HO KIM, DH LEE, DH CHOI, SG KIM

    Journal of the Korean Wood Science and Technology 52 (1), 47-57, 2023/12/05

  • 264. Bio-oil and biochar production from Ageratum conyzoides using triple-stage hydrothermal liquefaction and utilization of biochar in removal of multiple heavy metals from water

    Monu Verma, Ingyu Lee, Shivam Pandey, Manisha Nanda, Vinod Kumar, PK Chauhan, Sanjay Kumar, Mikhail S Vlaskin, Hyunook Kim

    Chemosphere 340, 139858, 2023/11

  • 263. Characterization and Analysis of Microplastics and Nanoplastics in Water

    I Lee, J Oh, S Joo, H Kim

    AIJR Abstracts, 45-46, 2023/10

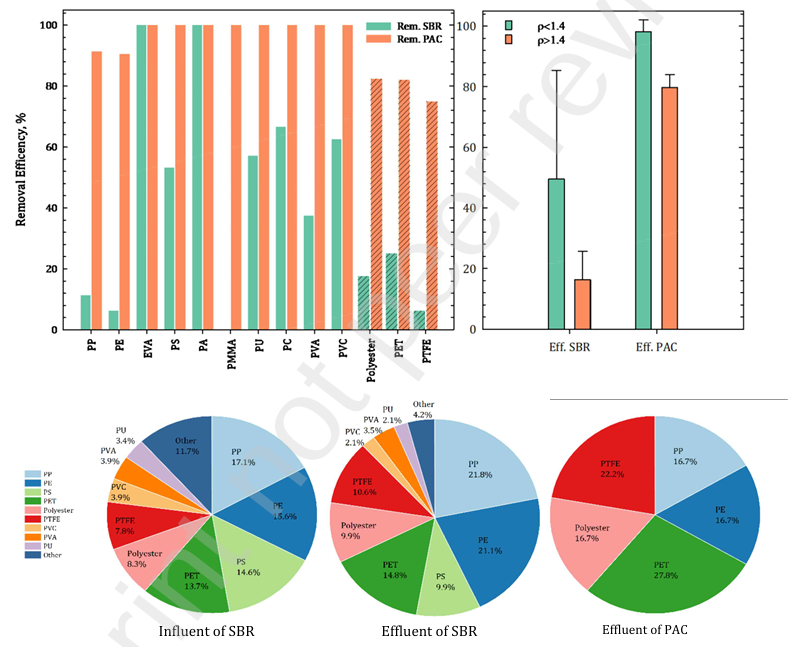
  • 262. The Removal of Microplastics from Reverse Osmosis Wastewater by Coagulation

    H Oh, K Sanoev, H Kim, I Lee, T Hong

    Available at SSRN 4615116, 2023/10/27

  • 261. The Surface acidity of freshly synthesized microplastics particles in simple electrolyte

    JY Lin, I Lee, JH Tzeng, W Li, H Kim, CP Huang

    Colloids and Surfaces A: Physicochemical and Engineering Aspects 675, 132000, 2023/10/20

  • 260. Dairy Industry wastewater and stormwater energy valorization: Effect of wastewater nutrients on microalgae-yeast biomass

    Vinod Kumar, Prateek Gururani, Afreen Parveen, Monu Verma, Hyunook Kim, Mikhail Vlaskin, Anatoly V Grigorenko, Kirill G Rindin

    Biomass Conversion and Biorefinery, 2023/10

  • 259. Development of yeast and microalgae consortium biofilm growth system for biofuel production

    Bhawna Bisht, Monu Verma, Rohit Sharma, PK Chauhan, Kumud Pant, Hyunook Kim, Mikhail S Vlaskin, Vinod Kumar

    Heliyon 2023/9/1

  • 258. Development of yeast and microalgae consortium biofilm growth system for biofuel production

    Bhawna Bisht, Monu Verma, Rohit Sharma, PK Chauhan, Kumud Pant, Hyunook Kim, Mikhail S Vlaskin, Vinod Kumar

    Heliyon 9 (9), 2023/08/25

  • 257. Evaluation of vertical distribution characteristics of microplastics under 20 μm in lake and river waters in South Korea

    Junho Lee, Seonghyeon Ju, Chaehwi Lim, Kyung Tae Kim, Homin Kye, Jiyoon Kim, Jihoon Lee, Hye-Won Yu, Ingyu Lee, Hyunook Kim, Yeojoon Yoon

    Environmental Science and Pollution Research 30 (44), 99875-99884, 2023/08/24

  • 256. Enhanced removal and stepwise recovery of inorganic and organic micropollutants from water using novel graphene oxide doped multifunctional β− cyclodextrin chitosan polymer

    Monu Verma, Youngmin Hong, Vinod Kumar, Bhawna Bisht, Mikhail S Vlaskin, Seon-Ha Chae, Kinjal J Shah, Hyunook Kim

    Journal of Physics and Chemistry of Solids 182, 111615, 2023/08/22

2023

  • Fixed Bed Drying of Sugarcane Bagasse Using Solar Energy

    H Lee, HO KIM, DH LEE, DH CHOI, SG KIM

    Journal of the Korean Wood Science and Technology 52 (1), 47-57, 2023/12/05

  • Bio-oil and biochar production from Ageratum conyzoides using triple-stage hydrothermal liquefaction and utilization of biochar in removal of multiple heavy metals from water

    Monu Verma, Ingyu Lee, Shivam Pandey, Manisha Nanda, Vinod Kumar, PK Chauhan, Sanjay Kumar, Mikhail S Vlaskin, Hyunook Kim

    Chemosphere 340, 139858, 2023/11

  • Characterization and Analysis of Microplastics and Nanoplastics in Water

    I Lee, J Oh, S Joo, H Kim

    AIJR Abstracts, 45-46, 2023/10

  • The Removal of Microplastics from Reverse Osmosis Wastewater by Coagulation

    H Oh, K Sanoev, H Kim, I Lee, T Hong

    Available at SSRN 4615116, 2023/10/27

  • The Surface acidity of freshly synthesized microplastics particles in simple electrolyte

    JY Lin, I Lee, JH Tzeng, W Li, H Kim, CP Huang

    Colloids and Surfaces A: Physicochemical and Engineering Aspects 675, 132000, 2023/10/20

  • Dairy Industry wastewater and stormwater energy valorization: Effect of wastewater nutrients on microalgae-yeast biomass

    Vinod Kumar, Prateek Gururani, Afreen Parveen, Monu Verma, Hyunook Kim, Mikhail Vlaskin, Anatoly V Grigorenko, Kirill G Rindin

    Biomass Conversion and Biorefinery, 2023/10

  • Development of yeast and microalgae consortium biofilm growth system for biofuel production

    Bhawna Bisht, Monu Verma, Rohit Sharma, PK Chauhan, Kumud Pant, Hyunook Kim, Mikhail S Vlaskin, Vinod Kumar

    Heliyon 2023/9/1

  • Development of yeast and microalgae consortium biofilm growth system for biofuel production

    Bhawna Bisht, Monu Verma, Rohit Sharma, PK Chauhan, Kumud Pant, Hyunook Kim, Mikhail S Vlaskin, Vinod Kumar

    Heliyon 9 (9), 2023/08/25

  • Evaluation of vertical distribution characteristics of microplastics under 20 μm in lake and river waters in South Korea

    Junho Lee, Seonghyeon Ju, Chaehwi Lim, Kyung Tae Kim, Homin Kye, Jiyoon Kim, Jihoon Lee, Hye-Won Yu, Ingyu Lee, Hyunook Kim, Yeojoon Yoon

    Environmental Science and Pollution Research 30 (44), 99875-99884, 2023/08/24

  • Enhanced removal and stepwise recovery of inorganic and organic micropollutants from water using novel graphene oxide doped multifunctional β− cyclodextrin chitosan polymer

    Monu Verma, Youngmin Hong, Vinod Kumar, Bhawna Bisht, Mikhail S Vlaskin, Seon-Ha Chae, Kinjal J Shah, Hyunook Kim

    Journal of Physics and Chemistry of Solids 182, 111615, 2023/08/22